Aerodynamik
Shear-flow Prediction and Drag Estimation using AI-driven Methodology (SPADE-AIM) / Prognose von Scherströmungen und Widerstandsschätzung mittels KI-gestützter Methodik DFG Project number: 569383977, Grant: HA 10565/2-1
Cooperation Partner: Prof. Ricardo Vinuesa, Ph.D., Department of Aerospace Engineering, University of Michigan
Objective: Develop ML algorithms for predicting wall friction and drag across different flow complexities.
Bridging AI and Aerodynamics: Artificial Intelligence is transforming the landscape of engineering — and aerospace engineering is no exception. The SPADE-AIM project will pioneer AI- and Machine Learning–based methods for analyzing and predicting shear-driven flows and drag estimation using large-scale experimental data from advanced wind tunnel testing.
Experimental aerodynamics has long been the cornerstone of aerospace innovation, now meets data-driven intelligence. With the integration of physics-informed neural networks (PINNs) and AI-driven flow prediction, this project aims to enhance the interpretation of complex boundary layer flows and redefine aerodynamic testing methodologies.
The LAS Department at BTU has over two decades of excellence in experimental and numerical aerodynamics, including major LuFo (German Aviation Research Programme) and EFRE (European Regional Development Fund) projects. This new DFG grant strengthens BTU’s legacy by embedding AI and ML into experimental research infrastructure, advancing both fundamental science and practical aerospace applications.

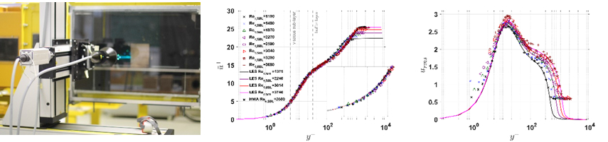
Figure-1: (Left) Near-wall measurement at LAS wind tunnel using laser Doppler anemometry, (middle) law-of-wall presentation of TBL data using direct measurement of the wall shear stress and (right) streamwise velocity fluctuations (Hasanuzzaman (2021), Hasanuzzaman et al. (2022))

Figure-2: A schematic view of PINNs. Green indicates the neurons with non-linear activation functions, blue represents the implementation of automatic differentiation (AD) for differentiating the outputs u with respect to the inputs x = (x, y) and magenta refers to the calculation of the residual of the RANS equations e. (Hasanuzzaman (2023)).

Figure-3: Reynolds number range of the experimental data
Turbulent flows have long been a central topic in physics, mathematics, and engineering, leading to extensive research efforts. In particular, Turbulent Boundary Layer (TBL) flows, a canonical form of wall-bounded shear flows, are of great scientific and technical importance due to their influence on numerous engineering applications, including aircraft and ship design, wind turbine performance, and heat exchanger efficiency (Hasanuzzaman and Egbers (2024)). A thin layer of fluid in contact with a solid boundary, where the flow exhibits high turbulence, characterizes TBLs. The near-wall region, dominated by viscosity, plays a crucial role in friction drag, making it a key area of investigation for energy savings in aviation (Hasanuzzaman et al. (2020), Hasanuzzaman (2021)). Despite its significance, direct measurement of the near-wall region remains a formidable challenge due to the intricate small-scale structures present in high-Reynolds-number flows. Traditional numerical methods, such as Direct Numerical Simulations (DNS) and Large Eddy Simulations (LES), demand immense computational resources to resolve the near-wall turbulence structures accurately. Experimental methods, while capable of reaching high Reynolds numbers, often lack direct access to near-wall data using standard measurement techniques. The difficulty of obtaining high-fidelity near-wall data in non-intrusive experimental studies has been further elaborated by Hasanuzzaman et al. (2022).
Machine Learning (ML) offers a promising alternative to enhance data quality in TBL flows, particularly for integrating experimental and numerical data. However, due to the wide range of spatial and temporal scales inherent in turbulent shear flows, acquiring a comprehensive dataset remains challenging. High-dimensional, nonlinear turbulence dynamics hinder direct interpretation, often necessitating multiple expensive and time-consuming experimental studies (Hasanuzzaman et al. (2023)). Near-wall data in shear-driven flows is of particular significance as it provides critical insights into wall-shear stress and turbulent structure scaling. Recently, application of Machine Learning for sustainable aviation has gained significant momentum (Hasanuzzaman et al. (2024)).
The purpose of this project is to develop a robust, data-driven machine learning (ML) algorithm capable of predicting near-wall velocity data from unresolved or coarse measurements in turbulent boundary layers (TBL) with complex wall boundary conditions. The success of this approach will establish a cost-effective method with significant financial and computational benefits. Neural Network (NN) based ML algorithm will be exploited to extend its predictions beyond the velocity scalers obtained from experimental data in the outer region. Subsequently, the proposed method will be extensively verified using direct measurements from the stated region. Therefore, the combination of the work packages will reach an optimized and data-driven estimation of local wall-shear stress easily attainable in a comprehensive experimental condition.
References
Hasanuzzaman, G., Merbold, S., Cuvier, C., Motuz, V., Foucaut, J.-M., and Egbers, C. (2020). Experimental investigation of turbulent boundary layers at high Reynolds number with uniform blowing, Part I:
Statistics. Journal of Turbulence, 21(3), 129–165. url:
https://doi.org/10.1080/14685248.2020.1740239
Hasanuzzaman, G., Merbold, S., Cuvier, C., Motuz, V., Foucaut, J.-M., and Egbers, C. (2018). Experimental investigation of active control in turbulent boundary layer using uniform blowing. In ICEFM 2018 (pp.
1–6). Munich, Germany.
Hasanuzzaman, G. (2021). Experimental investigation of turbulent boundary layer with uniform blowing at moderate and high Reynolds numbers (1st ed.), Cuvillier Verlag, Göttingen, Germany, ISBN:
978-3-7369-7558-3. p. 1 - 152. url:
https://opus4.kobv.de/opus4-btu/frontdoor/index/index/year/2021/docId/5566
Hasanuzzaman, G., Merbold, S., Motuz, V., & Egbers, C. (2021).
Enhanced outer peaks in turbulent boundary layer using uniform blowing at moderate Reynolds number. Journal of Turbulence. url:
https://doi.org/10.1080/14685248.2021.2014058
Hasanuzzaman, G., Eivazi, H., Vinuesa, R., Merbold, S., & Egbers, C.
(2023). Enhancement of PIV measurements via physics-informed neural networks. Measurement Science and Technology, 34(4), 044002. url:
https://doi.org/10.1088/1361-6501/aca9eb
Hasanuzzaman, G., and Egbers, C. (2024). Application of machine learning for sustainable aviation: The role of friction drag and flow control in turbulent boundary layer flows. In 2nd International Conference on Advancing Sustainable Futures, Abu Dhabi, UAE. url:
https://www.researchgate.net/publication/388106045_Application...
